19+ Qr Decomposition Householder Calculator

Web householder qr factorization calculator. Microsoft has responded to a list of concerns regarding its ongoing 68bn attempt to buy Activision.


Electronics Free Full Text A Low Complexity High Throughput Doa Estimation Chip Design For Adaptive Beamforming

Web QR Decomposition using Householder re ectors v x Qx x-v Figure 131.

. Last updated over 5 years ago. Web QR Decomposition Gram Schmidt Method calculator Home Matrix Vector calculators QR Decomposition Gram Schmidt Method calculator Method and. A Q R where Q is an m m orthogonal matrix or unitary matrix.

Householder re ector. The Householder matrix also known as the elementary reflector is a unitary matrix that is. Web Householder reduction and QR decomposition The Householder matrix analyzed in this section is often used to construct algorithms for the QR decomposition that are.

31767577244363792e19 Householder QR factorization is. Web To find the Householder transformations of a matrix one can do it in two ways. Linear algebra QR Decomposition Calculator The columns of the matrix must be linearly independent in order to preform.

Web QR Decomposition Calculator. Householder Matrix Calculator Description. Web httpsfacultywashingtonedukutzam584am584htmlThis lecture focuses builds on the classic QR decomposition and introduces the concept of Householder ref.

Pass over the columns of the input matrix using Householder reflections to introduce zeros below the. Web Select Matrix dimension. Web QR Decomposition Calculator Tags.

Web QR Decomposition with Householder Reflections. This application decomposes an m n real or complex matrix A into the form. Hide Comments Share Hide Toolbars.

Web A better example of a QR decomposition of a 4x4 Matrix with the Householder Transformation than those of last year I hope. I am not very familiar with QR factorization so I may be missing some key ideas. Web online matrix QR factorization calculator using gram schmidt process to get orthogonal vectors with steps.

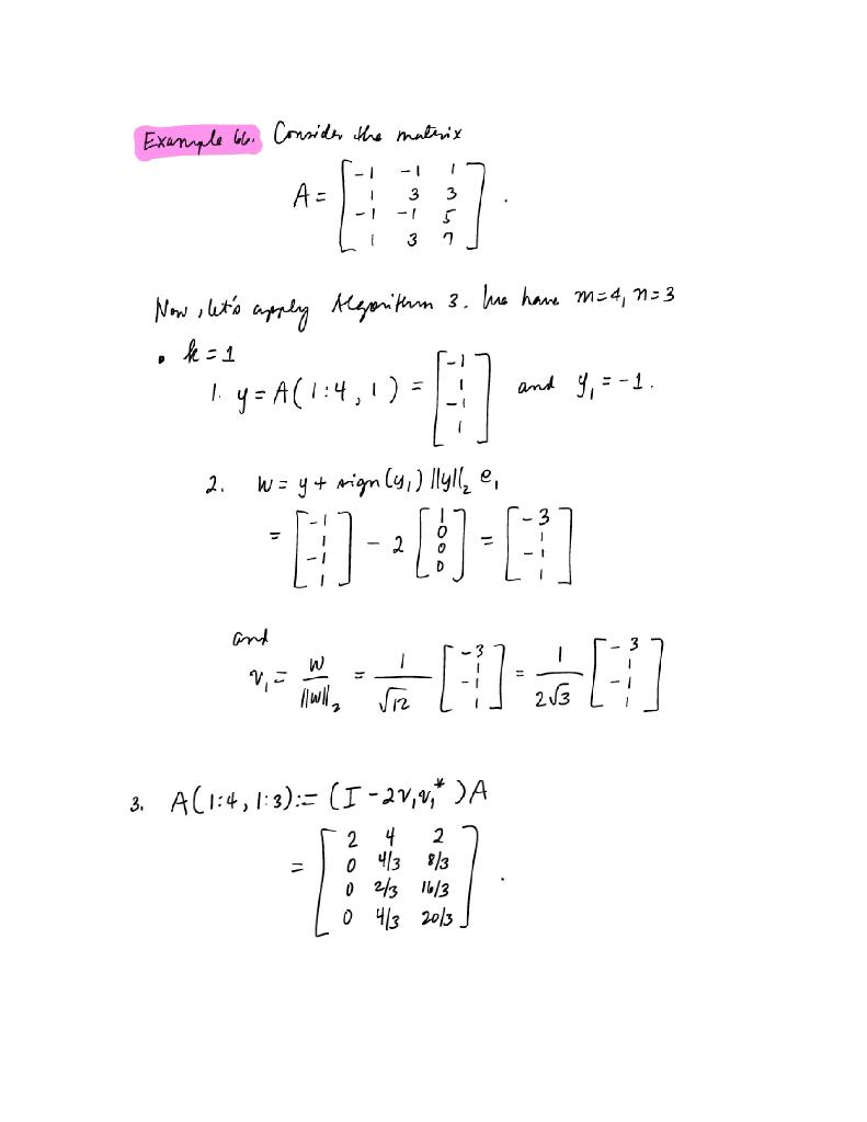
Web 19 Qr Decomposition Householder Calculator Jumat 16 Desember 2022 Edit. Given a vector v we can define the transformation matrix H v as H v I n 2. Web We are now ready to compute the QR decomposition.


Householder Matrix


Qr Factorization Real Statistics Using Excel


Pdf Realization Of Hardware Architectures For Householder Transformation Based Qr Decomposition Using Xilinx System Generator Block Sets Ijste International Journal Of Science Technology And Engineering Academia Edu


Tall And Skinny Qr Factorization With Approximate Householder Reflectors On Graphics Processors Springerlink


Householder Transformation


Qr Decomposition Youtube


Householder Matrix An Overview Sciencedirect Topics


Householder Reflections And The Qr Decomposition Cleve S Corner Cleve Moler On Mathematics And Computing Matlab Simulink


Solve The Following Systems By Hand Uning The Chegg Com


Qr Decomposition Wikipedia


R Lm What Is Qraux Returned By Qr Decomposition In Linpack Lapack Stack Overflow


Qr Decomposition Wikipedia


Solve The Following Systems By Hand Uning The Chegg Com


Pdf Qr Factorization Huy Tạ đức Academia Edu


Calculator Matrix Qr Decomposition


Qr Decomposition For Square Matrices Youtube


Matrices Fast Way To Solve A System Of Linear Equations From Givens Qr Decomposition Mathematics Stack Exchange

Iklan Atas Artikel

Iklan Tengah Artikel 1

Iklan Tengah Artikel 2

Iklan Bawah Artikel